Revision paper 2

1.



    

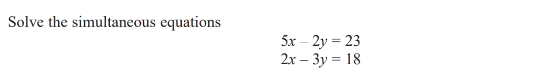
2.



    

3.



    

4.



    

5.



    

6.



    

7.



    

8.



    

9.



    

10.



    

11.



    

12.



    

13.



    

14.



    

15.



    

16.



    

Summary

Questions and solutions for the session may be downloaded as a PDF document.